Overview
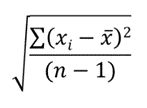
While it is always best to generate equations using an equation editor, there may be times that you receive materials from a SME with images of equations, such as the equation for standard deviation of a sample, shown below. You know that images need to be made accessible but may wonder how to make images of equations accessible.
Standard DeviationRather than writing alternative text, the best way to make an image of an equation accessible is to recreate it using an equation editor, which can then be read by a screen reader.
However, there are many factors that would determine whether it’s a valuable use of time to recreate the equations. Some common factors to consider are:
- How many equations are there?
- Does the deadline allow time to recreate them?
- Is it for a durable asset or is it a one-time use asset?
If you determine it is not a valuable use of time to recreate the equations, be sure to add the asset to the
ADA Asset Log.
Using Equation Editors
There are two primary use cases that may each require a slightly different approach based on the destination output of the equations. You may be able to make the original source equations accessible, however, there may be times when a separate media alternative version must be created.
Note: Screen readers cannot read equations within PDF documents even when created with an equation editor.
1. Output is a Program WITH an Equation Editor
Microsoft Word & PowerPoint
The easiest way to recreate an equation is to use the Ink Equation feature. This allows you to use your mouse to draw what you see in the image without having to know the various symbols. You can usually get most of the way there using this method and then edit as needed afterward.
Using Ink Equation Editor to draw equation:
Final result using ink equation editor:
To recreate the equation in Word or PowerPoint:
- Place your cursor where you want the equation to appear
- Click on the Insert tab, locate the Symbols toolbar, click on the Equation drop-down menu, and then select Ink Equation.

- The Math Input Control panel will appear for you to draw the equation in. When you are finished, click on Insert. To edit an equation, click on it and edit as needed using the tools in the Equation tab.
Additional Microsoft Resources:
- Equation Editor
- Write an Equation or Formula
- Editing equations created using Microsoft Equation Editor
Canvas
- The math Equation Editor is built into the Rich Content Editor for Announcements, Assignments, Discussions, Pages, Quizzes, and Syllabus.
- The Equation Editor can be used for basic mathematical formatting for introductory math courses or for more advanced mathematical text for higher-level math courses. Both students and instructors have access to the editor. For more help, view the following resource documents:
- How do I use the math Equation Editor in the Rich Content Editor?
- Canvas Equation Editor Tips: Math Expressions Using LaTeX
- Canvas Equation Editor Tips: Chemistry Using LaTeX
- New Quizzes supports the use of Mathematical Markup Language MathML code by switching the Rich Content Editor to HTML for the question stem.
- How do I use the HTML view in the Rich Content Editor?
Blackboard
- The Math Editor, built into the rich text editor, allows you to insert math equations and formulas into test, assignments, discussions, and journals.
D2L Brightspace
- The Graphical Equation Editor is a JavaScript-based application within the HTML Editor tool that enables you to add MathML and LaTeX equations to content.
2. Output is a Program WITHOUT an Equation Editor.
When equations are used in Orbis created assets such as a Rise presentation or Learning Object, a media alternative version may need to be created in order to meet an accommodation request. This would typically entail a Word document version that has been formatted for accessibility and where the equations have been created using the equation editor. Both versions would then be uploaded into the course and provided to all students.